L’acquisition de WhatsApp valorise chacun de ses utilisateurs à 42 dollars, alors que le japonais Rakuten vient d’acheter un service de messagerie instantané, Viber, à un ratio de 3 dollars pour chaque utilisateur. « WhatsApp est un produit d’extrêmement haute qualité, un réseau de communication très important », a continué d’argumenter Mark Zuckerberg.
Mois : février 2014 (Page 5 of 13)
Un jeune homme de 18 ans, poursuivi pour mise en danger de la vie d’autrui après avoir filmé Nancy à l’aide d’un drone, s’est vu proposer un travail par… le maire de la ville, a annoncé ce dernier mercredi 19 février.
Nous nous engageons à ce que les données de nos lecteurs, hébergées dans le cloud, soient privées. Nous donnons d’ailleurs des statistiques de lectures aux éditeurs.
The government is to unveil controversial plans to make publicly funded scientific research immediately available for anyone to read for free by 2014, in the most radical shakeup of academic publishing since the invention of the internet.
L’objectif est tout autant de mieux protéger les intérêts et la vie privée des entreprises et des citoyens européens, suite aux scandales sur la NSA révélés par Edward Snowden, que de créer une forme de protectionnisme favorable aux entreprises numériques européennes.
Être ado aujourd’hui, c’est vivre 24h sur 24 la vie d’un personnage de télé réalité. Tout se sait, tout. Parce qu’ils mettent tout sur Internet, ou que les autres le font. Sur Facebook, sur Snapchat, chacun risque de se voir démolir pour un détail, une tenue trop voyante, une phrase malheureuse, une confession amicale… Preuves à l’appui, ils sont soumis au jugement populaire, et celui qui est mis au pilori n’a aucune excuse : « Il n’avait qu’à pas s’habiller comme ça », « Elle n’avait qu’à pas coucher ». Il faut maîtriser perpétuellement son image, et assumer pleinement tous ses faux pas.
(via TINDER DELICE)
« The following graph shows the proportion of positive over negative feelings being expressed in timeline posts before and after the beginning of a relationship. We observe a general increase after the relationship’s « day 0″, with a dramatic increase in days 0 and 1! » (via The Formation of Love)
« Interestingly, despite not having this cultural bias to deal with, the average absolute age difference between same-sex partners is larger ». (via The Age of Love)
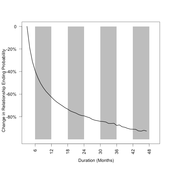
« Confirming our basic intuition of decreasing likelihood of a relationship ending as the relationship’s prior duration grows » (via Flings or Lifetimes? The Duration of Facebook Relationships)



